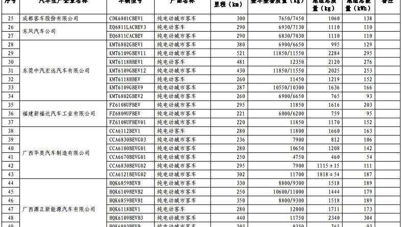
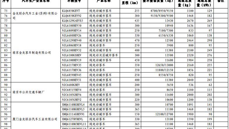
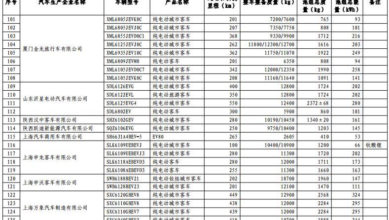
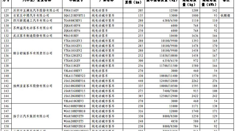
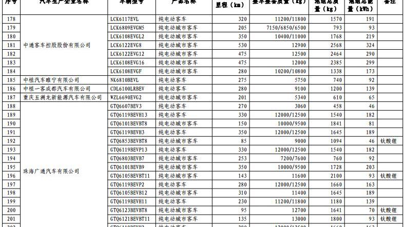
10月30日,工信部發布《免征車輛購置稅新能源汽車目錄(第十三批)》,共有465輛新能源汽車入選。其中,純電動汽車包括45輛客車、207輛客車、173輛特種車和5輛卡車;插電式混合動力汽車包括一輛上汽名爵eMG6乘用車、29輛插電式公交車和5輛燃料電池公交車。純電動乘用車的具體車型,包括江淮iEV7商用版、北汽EX350、北汽銀翔純電動多用途乘用車、北汽瑞麗EX260、比亞迪e5/Qin EV、東風凌志M5EV/景逸S50EV、東風小康EC36、云度π1/π3、海馬IDENTITY、裕捷E行/E城、T300EV/云100s/T11、云云100s。E160、昌河北斗E、年輕汽車純電動汽車、奇瑞eQ1、華泰汽車圣達菲XEV260/XEV180/iEV230/iEV160、上汽榮威Ei5、野馬EC70、一汽吉林森雅R7EV、長城C30EV、知豆D3/D2/遠景EVmini、吉利K27、力帆400EV等。










0
1
2
3
4
5
6
7
8
9
0
1
2
3 10月30日,工信部發布《免征車輛購置稅新能源汽車目錄(第十三批)》,共有465輛新能源汽車入選。其中,純電動汽車包括45輛客車、207輛客車、173輛特種車和5輛卡車;
插電式混合動力汽車包括一輛上汽名爵eMG6乘用車、29輛插電式公交車和5輛燃料電池公交車。純電動乘用車的具體車型,包括江淮iEV7商用版、北汽EX350、北汽銀翔純電動多用途乘用車、北汽瑞麗EX260、比亞迪e5/Qin EV、東風凌志M5EV/景逸S50EV、東風小康EC36、云度π1/π3、海馬IDENTITY、裕捷E行/E城、T300EV/云100s/T11、云云100s。E160、昌河北斗E、年輕汽車純電動汽車、奇瑞eQ1、華泰汽車圣達菲XEV260/XEV180/iEV230/iEV160、上汽榮威Ei5、野馬EC70、一汽吉林森雅R7EV、長城C30EV、知豆D3/D2/遠景EVmini、吉利K27、力帆400EV等。










0
1
2
3
4
5
6
7
8
9
0
1
2
3
10月24日,比亞迪發布投資者關系活動記錄表指出,目前公司所有的PHEV乘用車都已使用三元電池,未來公司的規劃可能除公共交通領域還會繼續使用磷酸鐵鋰電池外,其他的新車型都會使用三元電池。
1900/1/1 0:00:00德國戴姆勒集團日前發布消息稱,梅賽德斯奔馳乘用車及商務車業務板塊以及戴姆勒卡車及客車業務板塊,將轉型為兩家獨立的法律實體。
1900/1/1 0:00:00據外媒報道,福特首席執行官JimHackett為提升福特競爭力,重組管理層,4名福特高管將離職。
1900/1/1 0:00:00昨晚,江蘇永安行在官方發布公告稱,已與哈羅單車簽署協議,雙方業務將進行合并。這也是共享單車業界的首例并購。
1900/1/1 0:00:00近日,福特10億美元投資的自動駕駛公司Argoai宣布收購LiDAR激光雷達公司PrincetonLightwave,具體交易細節不詳。
1900/1/1 0:00:00而據美國《市場觀察》雜志近日報道,那些瘋狂想要擁有Model3的人,如果“不缺錢只是缺號”的話,可以從分類廣告網站Craigslist上購買Model3黃牛號作為“加塞”購車的機會,
1900/1/1 0:00:00